Mengerjakan Soal Dengan Mudah

Pernyataan Berikut Yang Benar Adalah A Sin 500 Sin 250 Sin 250


Caranya Juga Yah Tolong Brainly Co Id
brainly.co.id

B Matematika Sltp 2 Smpn 5 Malang
www.yumpu.com

Penjumlahan Pengurangan Sin A B Serta Sin A B Youtube
www.youtube.com

Hitunglah Nilai Dari Sin 30 Derajat Cos 90 Derajat Tan 45 Derajat Youtube
www.youtube.com

Https Core Ac Uk Download Pdf 78032549 Pdf

Pliss Tolong Jawab Master Mat Dikumpulkan Hari Ini Beserta Caranya Ya Brainly Co Id
brainly.co.id

Soal Dan Pembahasan Fungsi Trigonometri Dan Grafiknya Mathcyber1997
mathcyber1997.com

Sebuah Gelombang Berjalan Dengan Persamaan Y 0 02 Sin P 50t X M Maka 1 Frekuensi Brainly Co Id
brainly.co.id

Persamaan Gelombang Berjalan Y 2 Sin P 20t X 25 Dengan X Dalam Meter Y Dalam Cm Mas Dayat
www.masdayat.net

Bahan Ajar Matematika Kelas 1 Semester 2 Pages 1 50 Flip Pdf Download Fliphtml5
fliphtml5.com

Soal Dan Pembahasan Fungsi Trigonometri Dan Grafiknya Mathcyber1997
mathcyber1997.com

Ulangan Buka Buku Soal Uts Semester Genap Kelas Xi Mipa1
id.scribd.com

Perbandingan Dan Fungsi Trigonometri
id.scribd.com

Harian Trigonometri Xi Ipa Ips Ppt Download
slideplayer.info

Nilai Dari Cos50 Cos40 Sin 50 Sin40 Adalah Brainly Co Id
brainly.co.id

W4smwe9tojupim

Diketahui Grafik Fungsi Y1 5 Sin X Y2 Sin 5x Diantara Pernyataan Berikut Yang Benar Adalah Brainly Co Id
brainly.co.id

Soal Dan Pembahasan Perbandingan Trigonometri Sudut Istimewa Mathcyber1997
mathcyber1997.com

Modul Matematika Kumpulan Soal Akhir Kelas X Xi Xii Pages 1 50 Flip Pdf Download Fliphtml5
fliphtml5.com

Pdf Soal Matematika Sma Kelas X Semester 2 100 Soal Matematika Vromyla Pratama Academia Edu
www.academia.edu

Tugas Matematika Miracle L Rampi Ppt Download
slideplayer.info

Ulangan Semester 1good B
id.scribd.com

Tentukan Nilai Berikut A Sin 150 Derajat B Cosec 45 Derajat C Tan 330 Derajat D Sin 5 2 Phi E Cos Brainly Co Id
brainly.co.id

Sin 10 Sin 50 Sin 70 Youtube
www.youtube.com

Sin X 50 3 0 X 360 Mas Dayat
www.masdayat.net

Tolong Kak Please Please Brainly Co Id
brainly.co.id

Nilai Dari Sin 75 Sin 165 Adalah Brainly Co Id
brainly.co.id

Modul Matematika Kumpulan Soal Akhir Kelas X Xi Xii Pages 1 50 Flip Pdf Download Fliphtml5
fliphtml5.com

Soal Dan Pembahasan Fungsi Trigonometri Dan Grafiknya Mathcyber1997
mathcyber1997.com

Pembahasan Soal Un Persamaan Trigonometri Smatika
smatika.blogspot.com

Fisika 12 1a
www.slideshare.net

Harian Trigonometri Xi Ipa Ips Ppt Download
slideplayer.info

Uh 1 Kd 1 1 Kls Xii Ipa 1 B
id.scribd.com

Pernyataan Berikut Ini Yang Benar Adalah A Sin A Sin A B Cos A Cos A C Tan A Tan A Brainly Co Id
brainly.co.id

Pdf Soal Matematika Sma Kelas X Semester 2 100 Soal Matematika Justin Andreas Academia Edu
www.academia.edu

Tugas Matematika
www.slideshare.net

Https Anasthink Files Wordpress Com 2010 08 Latihan Soal Soal Fisika Sma Kelas 1 2 3 By Ir Sahat Nainggolan Pdf

Destinasi Fisika Chapter 16 Gelombang Mekanik
haris1970.blogspot.com

Aturan Sinus Dan Aturan Cosinus Smatika
smatika.blogspot.com

Diketahui Sin A 3 5 Berapa Nilai Dari Cos A Tan A Sec A Cosec A Dan Cotan A Matematika Sma
soalmtk-sma.blogspot.com

Doc Tugas Mtk Soal Pembahasan Trigonometri Heybert Ferlando Academia Edu
www.academia.edu

Diketahui Cos 25 1 P Nyatakan Nilai Trigonometri Sudut Berikut Dalam P Mas Dayat
www.masdayat.net

Pdf 22 Energi Getaran Hilma Hasyimy Academia Edu
www.academia.edu

2 Hitunglah Nilai Dari Setiap Pernyataan Trigonometri Berikut 1 Sin 60 X Cos 30 X Cos 60 X Brainly Co Id
brainly.co.id

Pdf Optimization Of Achievement Motivation To Improve Long Jump Performance
www.researchgate.net

Nilai Dari Sin 75 Derajat Sin 15 Derajat Brainly Co Id
brainly.co.id

Soal Intan Pariwara Matematika Peminatan Hal 127 128 129 131
id.scribd.com

Print
id.scribd.com

Soal Penyisihan Sma Olimpiade Fisika Pif Xix
studylibid.com

Sbmptnfess On Twitter Asupan Latsol Utbk Fisika Gelombang
twitter.com

Fisika 12 1a
www.slideshare.net

Perhatikan Segitiga Berikut Kemudian Tentukan Nilai Sin A Cos A Tan A Sec A Cosec A Mas Dayat
www.masdayat.net

Sin25 Cos115 1 2 Sin40 1
doubtnut.com

If Cos 25 0 Sin 25 0 K Then Cos 50 0 Is Equal To Youtube
www.youtube.com

Http Www Oit Org Wcmsp5 Groups Public Dgreports Stat Documents Publication Wcms 227536 Pdf

Soal Dan Pembahasan Fungsi Trigonometri Dan Grafiknya Mathcyber1997
mathcyber1997.com

Perhatikan Gambar Berikut Pernyataan Berikut Yang Benar Adalah Brainly Co Id
brainly.co.id

Soal Dan Pembahasan Un Fisika Sma Tahun 2017 Aku Memilih Bahagia
pakbamsblog.wordpress.com

Rumus Trigonometri Sin 2a 2 Sin A Cos A Fazanugas Youtube
www.youtube.com

Latihan Soal Interferensi Dan Difraksi
www.slideshare.net

0 Nilaimu Kurang Tetap Semangat Lebih Giat Belajar 1 Bola Tolak Peluru Seberat 4 Kg Digelindingkan Di Atas Tanah Jika Diameter Bola 10 5 Cm Momen Inersia Bola Tersebut Sebesar Jawaban Kamu Jawaban Benar B 4 41 X 10 3 Kgm2
siswacerdas.com

Perhatikan Segitiga Berikut Kemudian Tentukan Nilai Sin A Cos A Tan A Sec A Cosec A Mas Dayat
www.masdayat.net

Tugas Matematika Miracle L Rampi Ppt Download
slideplayer.info

Destinasi Fisika Chapter 18 Gelombang Mekanik
haris1970.blogspot.com

Soal Gelombang
id.scribd.com

Tugas Matematika Miracle L Rampi Ppt Download
slideplayer.info

Persamaan Gelombang Berjalan
id.scribd.com

Destinasi Fisika Chapter 17 Gelombang Mekanik
haris1970.blogspot.com

Http Www Oit Org Wcmsp5 Groups Public Dgreports Stat Documents Publication Wcms 227536 Pdf

Soal Dan Pembahasan Perbandingan Trigonometri Dasar Mathcyber1997
mathcyber1997.com

Soal Soal Fisika
www.slideshare.net

File
studylibid.com

Latihan Uas Fisika Semester 1 Kelas Xii
www.slideshare.net

D On Twitter Fisika
twitter.com

Hitunglah A Sin 60 Tan 45 Cosec 30 Cos 60 Mas Dayat
www.masdayat.net

Soal No 1 Docx
id.scribd.com

Arus Bolak Balik Lengkap
studylibid.com

Modul 3 Arsitek Modern Pdf Free Download
docplayer.info

Soal Dan Pembahasan Perbandingan Trigonometri Sudut Istimewa Mathcyber1997
mathcyber1997.com

Sebuah Gelombang Berjalan Sesuai Persamaan Y 4 Sin P 2x 50t M Mas Dayat
www.masdayat.net

Destinasi Fisika Chapter 17 Gelombang Mekanik
haris1970.blogspot.com

Tugas Matematika
www.slideshare.net

Manakah Pernyataan Yang Bernilai Benar Untuk Setiap Pernyataan Di Bawah Ini A Sin A B Sin A Brainly Co Id
brainly.co.id

Persamaan Gelombang Berjalan
id.scribd.com

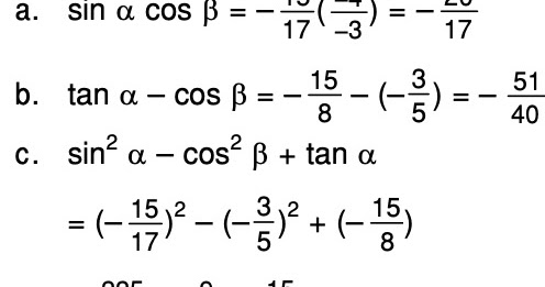
Diketahui Cos A 8 17 A Di Kuadran Iv Dan Sin B 3 5 B Di Kuadran Iii Tentukan Nilai Mas Dayat
www.masdayat.net

Diketahui Cos A 8 17 A Di Kuadran Iv Dan Sin B 3 5 B Di Kuadran Iii Tentukan Nilai Mas Dayat
www.masdayat.net

If Cos 25 0 Sin 25 0 K Then Cos 50 0 Is Equal To Youtube
www.youtube.com

Destinasi Fisika Chapter 17 Gelombang Mekanik
haris1970.blogspot.com

Pdf Latihan Soal Bab 9 Persamaan Gelombang Dikonversi20190422 60238 1k67sbm Ainun Mardiyah Academia Edu
www.academia.edu

Matematika Peminatan Xii K 13
www.slideshare.net

Matematika Peminatan Xii K 13
www.slideshare.net

Jika Sin 50 A Maka Sin 140 Bantuin Yaa Brainly Co Id
brainly.co.id

Pdf Rumus Trigonometri Jumlah Dan Selisih Dua Sudut A Rumus Trigonometri Untuk Jumlah Dan Selisih Dua Sudut Msarah Nainggolan Academia Edu
www.academia.edu

Modul Matematika Sma Dan Soal Latihan 04 Latihan 2
id.123dok.com

Suatu Gelombang Stasioner Memiliki Persamaan Y 40 Cos 2p X Sin 100p T Y Dan X Dalam Cm Mas Dayat
www.masdayat.net

Rangkuman Contoh Soal Gelombang Pembahasan Jawaban
tanya-tanya.com

Fisika 02 Pdf Document
fdokumen.com

Cos25 Sin25 P Then Find Cos50
doubtnut.com

Nilai Eksak Dari Cos 20 Cos 40 Cos 80 Youtube
www.youtube.com

Kumpulan Soal Pembuktian Identitas Trigonometri
maths.id

close