Mengerjakan Soal Dengan Mudah

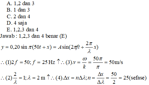
Pernyataan Berikut Yang Benar Adalah Sin 50


Pdf Soal Matematika Sma Kelas X Semester 2 100 Soal Matematika Justin Andreas Academia Edu
www.academia.edu

Tentukan Nilai M Yang Tepat Agar Pernyataan Berikut Bernilai Benar 18 35 3 4 61 175 M 1 Brainly Co Id
brainly.co.id

Soal Sbmptn 2013 Ipa Kode 338 Pdf Document
fdokumen.com

Soal Dan Pembahasan Fungsi Trigonometri Dan Grafiknya Mathcyber1997
mathcyber1997.com

0 Nilaimu Kurang Tetap Semangat Lebih Giat Belajar 1 Bola Tolak Peluru Seberat 4 Kg Digelindingkan Di Atas Tanah Jika Diameter Bola 10 5 Cm Momen Inersia Bola Tersebut Sebesar Jawaban Kamu Jawaban Benar B 4 41 X 10 3 Kgm2
siswacerdas.com

Pdf Soal Matematika Sma Kelas X Semester 2 100 Soal Matematika Vromyla Pratama Academia Edu
www.academia.edu

2 Hitunglah Nilai Dari Setiap Pernyataan Trigonometri Berikut 1 Sin 60 X Cos 30 X Cos 60 X Brainly Co Id
brainly.co.id

Destinasi Fisika Chapter 17 Gelombang Mekanik
haris1970.blogspot.com

Suatu Gelombang Stasioner Memiliki Persamaan Y 40 Cos 2p X Sin 100p T X Dan Y Dalam Cm Dan T Dala Youtube
www.youtube.com

Diketahui Grafik Fungsi Y1 5 Sin X Y2 Sin 5x Diantara Pernyataan Berikut Yang Benar Adalah Brainly Co Id
brainly.co.id

Buku Siswa Matematika Kelas 10 Revisi 2017 Flip Book Pages 151 200 Pubhtml5
pubhtml5.com

Harian Trigonometri Xi Ipa Ips Ppt Download
slideplayer.info

Tabel Perbandingan Di Bawah Ini Membandingkan Antara Organisme Prokariotik Dan Eukariotik Yang Mas Dayat
www.masdayat.net

Pdf Latihan Soal Bab 9 Persamaan Gelombang Dikonversi20190422 60238 1k67sbm Ainun Mardiyah Academia Edu
www.academia.edu

Sm Uny Ipa 2011
www.slideshare.net

Perhatikan Segitiga Berikut Kemudian Tentukan Nilai Sin A Cos A Tan A Sec A Cosec A Mas Dayat
www.masdayat.net

Tugas Matematika Miracle L Rampi Ppt Download
slideplayer.info

Soal Matematika Sma Kls X Smt 2
www.slideshare.net

Pernyataan Berikut Ini Yang Benar Adalah Brainly Co Id
brainly.co.id

Destinasi Fisika Chapter 16 Gelombang Mekanik
haris1970.blogspot.com

Kelas 10 Sma Matematika Siswa 2017 Pages 151 200 Flip Pdf Download Fliphtml5
fliphtml5.com

B Matematika Sltp 2 Smpn 5 Malang
www.yumpu.com

90594412 Bab 3 Pengaturan Aliran Pemograman Fotran
www.slideshare.net

Pernyataan Yang Benar Adalah Matematika
utsmudah.web.app

Kelas 10 Sma Matematika Siswa 2017 Pages 151 200 Flip Pdf Download Fliphtml5
fliphtml5.com

Jawaban Soal Fisika
id.scribd.com

Kelas 8 Teorema Pythagoras Uji Kompetensi 6 Pg Youtube
m.youtube.com

Bab 6 Logikamatematika Pdf Document
fdokumen.com

Pernyataan Berikut Yang Benar Adalah Brainly Co Id
brainly.co.id

Learn Physics Together Belajar Fisika Bareng 2012
sohib-fisika.blogspot.com

Fisika 12 1a
www.slideshare.net

Harian Trigonometri Xi Ipa Ips Ppt Download
slideplayer.info

Soal Dan Pembahasan Fungsi Trigonometri Dan Grafiknya Mathcyber1997
mathcyber1997.com

Print
id.scribd.com

3 1 Gelombangmekanik
id.scribd.com

Ketelitian 0 01 Mm
studylibid.com

Soal No 1 Docx
id.scribd.com

Pembahasan Soal Snmptn Matematika Dasar Kode 179 Tahun 2011 Nomor 6 Sampai 10 Dunia Informa
www.umptn.konsep-matematika.com

Soal Latihan Junior Level Soal Python
www.slideshare.net

Materi Arus Dan Tegangan Listrik Bolak Balik
fisikakontekstual.com

Harian Trigonometri Xi Ipa Ips Ppt Download
slideplayer.info

Jika Massa Kelapa 2 Kg Pernyataan Berikut Yang Benar Adalah A Energi Potensial Banda Di Titik Brainly Co Id
brainly.co.id

Pdf 22 Energi Getaran Hilma Hasyimy Academia Edu
www.academia.edu

Soal Gelombang
id.scribd.com

Destinasi Fisika Chapter 17 Gelombang Mekanik
haris1970.blogspot.com

Pernyataan Berikut Yang Benar Adalah Brainly Co Id
brainly.co.id

Https Physicslive Files Wordpress Com 2014 01 Kemampuanipasnmptn2011kode574 Pdf

Identitas Perkalian Dan Penjumlahan Selisih Sinus Dan Kosinus Kelas 11 Youtube
www.youtube.com

Tugas Matematika Miracle L Rampi Ppt Download
slideplayer.info

Grafik Berikut Memetakan Kurva Disosiasi Hemoglobin Oksigen Kurva Menunjukkan Hubungan Antara Jumlah Oksigen Mas Dayat
www.masdayat.net

Bahan Ajar Matematika Kelas 1 Semester 2 Pages 1 50 Flip Pdf Download Fliphtml5
fliphtml5.com

Kelas 10 Sma Matematika Siswa 2017 Pages 151 200 Text Version Anyflip
anyflip.com

Sin 10 Sin 50 Sin 70 Youtube
www.youtube.com

Pernyataan Berikut Yang Benar Adalah A Sin 200 Cos 140 V Sin 140 Cos 200 Sin 325ยบ Brainly Co Id
brainly.co.id

Perhatikan Gambar Berikut Pernyataan Berikut Yang Benar Adalah Brainly Co Id
brainly.co.id

Soal Intan Pariwara Matematika Peminatan Hal 127 128 129 131
id.scribd.com

D On Twitter Fisika
twitter.com

Soal Medspin 2012 A Wf1 Dan Wf3 Tidak Dapat Saling Berkomplementasi B Wf2 Dan Wf3 Dapat Saling Berkomplementasi Pdf Document
fdokumen.com

Soal Dan Pembahasan Fungsi Trigonometri Dan Grafiknya Mathcyber1997
mathcyber1997.com

Tugas Matematika
www.slideshare.net

A Perbandingan Trigonometri
studylibid.com

Suatu Gelombang Stasioner Memiliki Persamaan Y 40 Cos 2p X Sin 100p T X Dan Y Dalam Cm Dan T Dala Youtube
www.youtube.com

Bahan Ajar Matematika Kelas 1 Semester 2 Pages 1 50 Flip Pdf Download Fliphtml5
fliphtml5.com

Uh 1 Kd 1 1 Kls Xii Ipa 1 B
id.scribd.com

Perhatikan Diagram Venn Berikut Pernyataan Berikut Yang Benar Adalah Brainly Co Id
brainly.co.id

Fisika Ebtanas Tahun 1999
studylibid.com

Https Anasthink Files Wordpress Com 2010 08 Latihan Soal Soal Fisika Sma Kelas 1 2 3 By Ir Sahat Nainggolan Pdf

Logika 1700
id.scribd.com

Pernyataan Berikut Ini Yang Benar Adalah A Sin A Sin A B Cos A Cos A C Tan A Tan A Brainly Co Id
brainly.co.id

Destinasi Fisika Chapter 18 Gelombang Mekanik
haris1970.blogspot.com

Soal Intan Pariwara Matematika Peminatan Hal 127 128 129 131
id.scribd.com

Http Www Sman108jkt Sch Id Dokumen Attfile Pendalaman 20materi 20fisika Pdf

Https Physicslive Files Wordpress Com 2014 01 Kemampuanipasnmptn2011kode574 Pdf

Ulangan Semester 1good B
id.scribd.com

Soal Ujian Sekolah Fisika 2013 2014
www.slideshare.net

Modul Matematika Sma Dan Soal Latihan 04 Latihan 2
id.123dok.com

Soal Dan Pembahasan Un Fisika Sma Tahun 2017 Aku Memilih Bahagia
pakbamsblog.wordpress.com

A Perbandingan Trigonometri
studylibid.com

Pilihlah Jawaban Yang Tepat Untuk Setiap Pernyataan Berikut Ini Berikan Penjelasan Untuk Brainly Co Id
brainly.co.id

0 Nilaimu Kurang Tetap Semangat Lebih Giat Belajar 1 Bola Tolak Peluru Seberat 4 Kg Digelindingkan Di Atas Tanah Jika Diameter Bola 10 5 Cm Momen Inersia Bola Tersebut Sebesar Jawaban Kamu Jawaban Benar B 4 41 X 10 3 Kgm2
siswacerdas.com

Https Id Static Z Dn Net Files D86 A3f80fa7aa2fe6c1a3606bee33e6e649 Pdf

Destinasi Fisika Chapter 17 Gelombang Mekanik
haris1970.blogspot.com

A Perbandingan Trigonometri
studylibid.com

Sbmptnfess On Twitter Asupan Latsol Utbk Fisika Gelombang
twitter.com

0 Nilaimu Kurang Tetap Semangat Lebih Giat Belajar 1 Bola Tolak Peluru Seberat 4 Kg Digelindingkan Di Atas Tanah Jika Diameter Bola 10 5 Cm Momen Inersia Bola Tersebut Sebesar Jawaban Kamu Jawaban Benar B 4 41 X 10 3 Kgm2
siswacerdas.com

Manakah Pernyataan Yang Bernilai Benar Untuk Setiap Pernyataan Di Bawah Ini A Sin A B Sin A Brainly Co Id
brainly.co.id

Https Core Ac Uk Download Pdf 78032549 Pdf

Logika Matematika Doc
id.scribd.com

Https Physicslive Files Wordpress Com 2014 01 Kemampuanipasnmptn2011kode574 Pdf

E Matematika Spmb 1
id.scribd.com

1 Pernyataan Berikut Yang Benar Adalah A Sin 0 Cos 0 B Tan 0 Cotan 0 C Sin 30 Cos Brainly Co Id
brainly.co.id

Suatu Gelombang Stasioner Memiliki Persamaan Y 40 Cos 2p Xsin 100pt Mas Dayat
www.masdayat.net

Kelas 10 Sma Matematika Siswa 2017 Pages 151 200 Text Version Anyflip
anyflip.com

Caranya Juga Yah Tolong Brainly Co Id
brainly.co.id

Soal Dan Pembahasan Fungsi Trigonometri Dan Grafiknya Mathcyber1997
mathcyber1997.com

Sin X 50 3 0 X 360 Mas Dayat
www.masdayat.net

Tugas Matematika Miracle L Rampi Ppt Download
slideplayer.info

Matematika Akuntansi By Niena Vianora Issuu
issuu.com

Ulangan Buka Buku Soal Uts Semester Genap Kelas Xi Mipa1
id.scribd.com

Kelas 10 Sma Matematika Siswa 2017 Pages 151 200 Flip Pdf Download Fliphtml5
fliphtml5.com

close