Mengerjakan Soal Dengan Mudah

Pernyataan Dibawah Ini Yang Benar Adalah Ipa


Perhatikan Rangkaian Listrik Dibawah Ini Pernyataan Berikut Yang Benar Mengenai Rangkaian Tersebut Brainly Co Id
brainly.co.id

Pernyataan Yang Benar Dari Gambar Dibawah Ini Adalah Brainly Co Id
brainly.co.id

Soal Latihan Unbk Ipa Smp Tahun 2019 Dan Pembahasannya
blog.ruangguru.com

Tolong Jawab Ya Nomor 3 Brainly Co Id
brainly.co.id

Ini Contoh Surat Lamaran Surat Pernyataan Cpns 2019 Lengkap Untuk Sma S1 S2 Dan Diploma Halaman All Tribun Jakarta
jakarta.tribunnews.com

618
www.slideshare.net

Perhatikan Gambar Dibawah Ini Pernyataan Yang Benar Adalah
caramengerjakancepat.web.app

Latihan Soal Ipa Kelas Vii Sistem Organisasi Kehidupan 1 Dibawahini Pernyataanyangbenarmengenai Seladalah A Sel Ada Ipa Books Person
in.pinterest.com

Latihan Soal Unbk Sma Biologi Tahun 2020
blog.ruangguru.com

Soal Dan Pembahasan Olimpiade Ipa Sd Tingkat Kecamatan Contohsoal Net
contohsoal.net

Pernyataan Berikut Yang Benar Adalah Ipa
caramengerjakancepat.web.app

Soal Biologi Xi 9 Bank Soal Biologi Xi Najamudin17 Soal Biologi Xi 9
id.123dok.com

Soal Dan Kunci Jawaban Pat Ipa Smp Kelas 7 Kurikulum 2013 Tahun Pelajaran 2018 2019 Didno76 Com
www.didno76.com

Contoh Soal Induksi Matematika Kelas 11 Beserta Jawabannya Tekape Id
tekape.id

Soal Ipa Kelas 5 Semester 1 By Mbund Via Slideshare Ipa Semester Journal
in.pinterest.com

Listrik Ipa
www.slideshare.net

Latihan Soal Penilaian Akhir Semester 2019 Ipa Kelas 10
blog.ruangguru.com

Yayasan Pendidikan Siswa Minangkabau Psm Sma Swasta Psm Bukittinggi
id.scribd.com

Pas Genap X Ipa Bodhist 2019
id.scribd.com

Tugas Ipa Mi
kelompok2ipami.blogspot.com

Soal Dan Kunci Jawaban Pat Ipa Smp Kelas 7 Kurikulum 2013 Tahun Pelajaran 2018 2019 Didno76 Com
www.didno76.com

Soal Ipa Kelas 8 Smp Mts 2020 Dan Kunci Jawabannya
majalahpendidikan.com

1 Perhatikan Gambar Dan Beberapa Pernyataan Tentang Model Atom Berikut Tingkat Energiinti Brainly Co Id
brainly.co.id

Soal Pts 2019 2020 Kelas 7
id.scribd.com

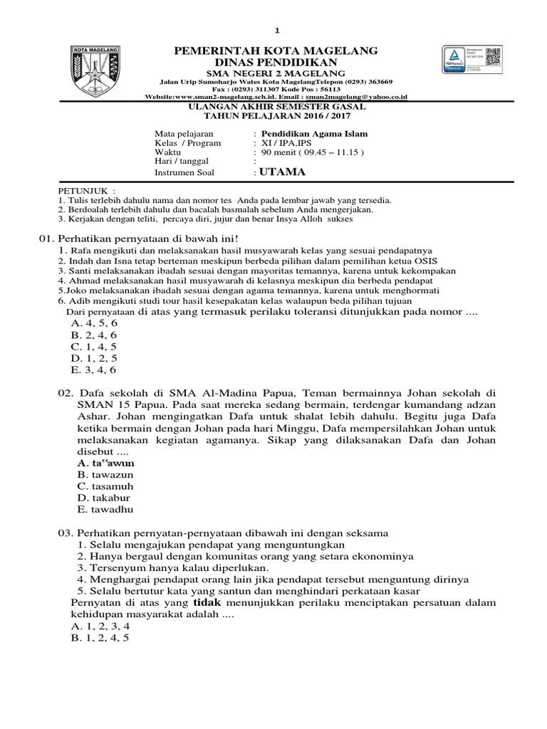
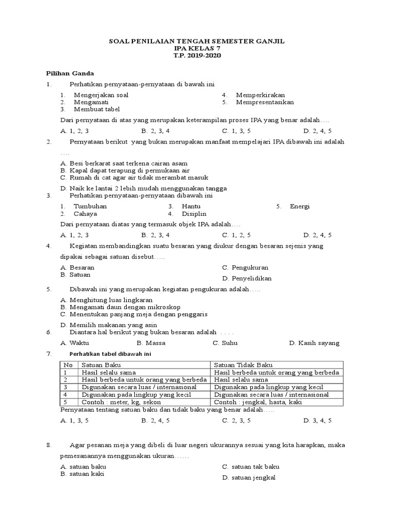
2

Soal Dan Kunci Jawaban Tes Sumatif Modul Ipa Ppg Terbaru Arnaim Com
www.arnaim.com

Wlpf5babioiivm

Latihan Soal Simak Ui 2020 Kemampuan Ipa
blog.ruangguru.com

All Categories Mediazoneindiana
mediazoneindiana.weebly.com

Contoh Soal Tata Surya Smp Idschool
idschool.net

Latihan Soal Ipa Kelas Vii Sistem Organisasi Kehidupan
studylibid.com

Berdasarkan Gambar Tersebut Pernyataan Berikut Yg Benar Adalah Brainly Co Id
brainly.co.id

2

Surat Pernyataan Universitas Pertamina
studylibid.com

Ejin7io W1blm

Aji Najib N 03 Xii Ipa 5
id.scribd.com

Pernyataan Di Bawah Ini Yang Benar Adalah Brainly Co Id
brainly.co.id

Latihan Soal Ukk Pat Ipa Kelas 8 Viii Smp Mts Kurikulum 2013 Tahun2020 Pendidikan Kewarganegaraan Pendidikan Kewarganegaraan
ainamulyana.blogspot.com

Yuk Kerjakan Contoh Soal Tpa Penalaran Analitik Ini Agar Sukses Sbmptn
www.quipper.com

Contoh Soal Induksi Matematika Dan Jawaban Pembahasan
soalkimia.com

Cara Melengkapi Tabel Kebenaran Logika Matematika Idschool
idschool.net

Tugas Ipa Mi
kelompok2ipami.blogspot.com

Contoh Surat Pernyataan Kesalahan Input Data Surat Buku Pelajaran Buku
id.pinterest.com

Quiz Ipa Jawab Dgn Benar 1 6terimakasih Brainly Co Id
brainly.co.id

Perhatikan Gambar Berikut Pada Balok Pqrs Tuvw Pernyataan Yang Benar Adalah Mas Dayat
www.masdayat.net

Pernyataan Berkuantor Universal Eksistensial Idschool
idschool.net

Soal Biologi Sirkulasi Gerak Jar Hewn Jar Tumb
id.scribd.com

Pat 2019 Genap X
id.scribd.com

Soal Semester Genap 2017
id.scribd.com

Pdf I Pernyataan Dan Negasinya Padiya Kartana Academia Edu
www.academia.edu

Kunci Jawaban Berikut Ini Adalah Pernyataan Mengenai Jumlah Kromosom Manusia Rofa Education Centre
rofaeducationcentre.blogspot.com

Latihan Soal Penilaian Akhir Semester 2019 Ipa Terpadu Kelas 9
blog.ruangguru.com

2 Jumlah Kelereng Akmal Dan Fajar Ppt Download
slideplayer.info

Pernyataan Yang Benar Tentang Sistem Kerja Pengungkit Sesuai Gambar Diatas Adalah Brainly Co Id
brainly.co.id

Contoh Soal Metabolisme Sma 2 Idschool
idschool.net

Kunci Jawaban Pernyataan Yang Benar Terkait Dengan Jumlah Kromosom Spermatogonium Dan Spermatozoa Adalah Rofa Education Centre
rofaeducationcentre.blogspot.com

Contoh Soal Tata Surya Smp Idschool
idschool.net

Kunci Jawaban Matematika Kelas 10 Halaman 37 38 Uji Kompetensi 1 2 Kosingkat
www.kosingkat.id

05 Soal Fisika 1990 2008
www.slideshare.net

Pdf Soal Osn Ipa Sd Olimpiade Terbaru Dan Pembahasannya Wah No Academia Edu
www.academia.edu

Uas Ganjil Ipa Fisika Kurnas Kls 7 Thn 2013 2014
id.scribd.com

Doc Soal Olimpiade Ipa Kls Ida Farida Academia Edu
www.academia.edu

Latihan Soal Simak Ui 2020 Kemampuan Ipa
blog.ruangguru.com

Https Www Phiradio Net Wp Content Uploads 2020 02 2019 Un Fis Pdf

Soal Ulangan Tengah Semester Uts Ipa Smp Kelas 9 Semester Genap
www.slideshare.net

Contoh Lengkap Surat Lamaran Cpns 2019 Surat Pernyataan Cpns Untuk Sma S1 S2 Diploma Tribunnews Com Mobile
m.tribunnews.com

Proyek Uas Ipa Mi
kelompok2ipami.blogspot.com

Contoh Surat Pernyataan Penyesalan Yang Baik Dan Benar Di 2020 Sekolah Ipa Surat
id.pinterest.com

Gaya
id.scribd.com

Soal Utbk Sbmptn Biologi 2019 Quipper Blog
www.quipper.com

2

Latihan Soal Dan Pembahasan Ujian Nasional Un Smp Ipa 2019
blog.ruangguru.com

Latihan Soal Olimpiade Ipa Sd X4e6mprz6gn3
idoc.pub

Simak Ui 2014 Kemampuan Ipa 1
www.slideshare.net

Cara Membuat Surat Izin Tidak Masuk Sekolah Yang Benar Citizen6 Liputan6 Com
www.liputan6.com

Tugas Ipa Mi
kelompok2ipami.blogspot.com

14 Contoh Surat Pernyataan Lengkap Untuk Berbagai Keperluan
titikdua.net

Soal Ipa Gugus Alok Barat 2019
www.slideshare.net

Uh
id.scribd.com

Surat Pernyataan Tidak Akan Mengajukan Pindah
id.scribd.com

Berikut Ini Pernyataan Yang Benar Mengenai Komunitas Yaitu Berikut Ini Peristiwa Yang Menunjukkan Brainly Co Id
brainly.co.id

Latihan Soal Pts Kelas 10 Sma Ipa Semester Ganjil 2020
blog.ruangguru.com

Ipa Kelas 7 Semester 1 Docx
id.scribd.com

Modul Ipa 7 Smp Semester 1
www.slideshare.net

Pdf Www Banksoal Web Id Soal Ujian Semester I Sma Kelas Xii Ipa Fisika Reinaldi Iswaraputra Academia Edu
www.academia.edu

Soal Uas Ipa Ix Sm Ganjil
www.slideshare.net

Soal Tes Ipa Dasar
id.scribd.com

Perhatikan Gambar Berikut Pernyataan Berikut Yang Benar Adalah
caramengerjakancepat.web.app

Doc Kumpulan Arsip Soal Dan Kunci Jawaban Osn Ipa Sd Tahun 2016 2017 Sdn 2 Karangsuwung Academia Edu
www.academia.edu

Manakah Dari Pernyataan Di Bawah Ini Yang Benar Berikan Alasanmu A Untuk Setiap X Bilangan Brainly Co Id
brainly.co.id

Pernyataan Dibawah Ini Yang Benar Adalah Brainly Co Id
brainly.co.id

Pernyataan Pernyataan Di Bawah Ini Yang Benar Untuk Segitiga Siku Siku Abc Adalah Brainly Co Id
brainly.co.id

Tabel Berikut Menyajikan Nilai Ujian Matematika Siswa Kelas Xii Ipa Jika 65 Siswa Lulus Ujian Matematika Pernyataan Berikut Yang Benar Adalah Pengetahuan Umum
pengetahuanku79.blogspot.com

Dari Tabel Tersebut Pernyataan Yang Tepat Adalah Pada Nomor Brainly Co Id
brainly.co.id

Bentuk Ekuivalen Pernyataan Majemuk Idschool
idschool.net

Latihan Soal Dan Pembahasan Un Smp Ipa 2019
blog.ruangguru.com

Intip Contoh Soal Utbk Sbmptn 2020 Beserta Kunci Jawaban Materi Tps Tentang Penalaran Umum
fame.grid.id

Pembahasan Snmptn Mat Ipa 2009 Pdf Document
fdokumen.com

Biologi Gonzaga Latihan Soal Biologi Bab 1 Kelas 12 Ipa Sma
biologigonz.blogspot.com

Tugas Ipa Mi
kelompok2ipami.blogspot.com

close