Mengerjakan Soal Dengan Mudah

Sederhanakan Bentuk Operasi Perpangkatan Berikut Ini Tuliskan Jawabanmu Dalam Bentuk Akar


Kelas Ix Matematika Bs Semester 1 Crc
www.slideshare.net

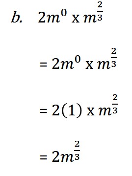
Kunci Jawaban Sederhanakan Bentuk Di Bawah Ini A A 3b 3c 3 4bc X 8ac 3bc 3 B 2m 0 X M 2 3 C M 3 4 M 3 Rofa Education Centre
rofaeducationcentre.blogspot.com

Buku Guru Matematika Kelas 9 K13 Revisi 2018 Pages 151 200 Flip Pdf Download Fliphtml5
fliphtml5.com

Bilangan Berpangkat Dan Bentuk Akar
studylibid.com

Perpangkatan Dan Bentuk Akar Smp Kelas 9 Buku Bse Revisi 2018 Matematika Bab 1 5 Uji
cyberspaceandtime.com

Jawaban Uji Kompetensi 1 Halaman 58 Matematika Kelas 9 Bastechinfo
www.bastechinfo.com

Smp Plus Al Kautsar Malang Uk Bilangan Berpangkat
id.scribd.com

Contoh Soal Bilangan Berpangkat Bulat Positif Negatif Dan Nol Buat Kamu Anak Kelas 9
www.quipper.com

Buku Siswa Matematika Kelas 9 Revisi 2018 Compressed Pages 1 50 Text Version Anyflip
anyflip.com

Kunci Jawaban Uji Kompetensi Bab 1 Matematika Kelas 9 Guru Ilmu Sosial
www.ilmusosial.id

Kunci Jawaban Dapatkan Hasil Dari Operasi Perpangkatan Berikut Ini 32 16 4 64 Rofa Education Centre
rofaeducationcentre.blogspot.com

Materi Perpangkatan Dan Bentuk Akar Matematika Kelas 9 Kurikulum 2013 Revisi 2018 Fastest Math
www.fastest-math.com

Search Youtube Channels Noxinfluencer
www.noxinfluencer.com

Latihan 1 4 Pangkat Nol Pangkat Negatif Dan Bentuk Akar Jawaban Matematika Nesajamath
nesajamath.blogspot.com

Perpangkatan Dan Bentuk Akar Smp Kelas 9 Buku Bse Revisi 2018 Matematika Bab 1 5 Uji Kompetensi1 25 By Insight Chamber
cyberspaceandtime.com

9 Sederhanakan Operasi Perpangkatan Berikut Ini Tuliskan Jawabanmu Dalam Bentuk Pangkat Brainly Co Id
brainly.co.id

Contoh Soal Dan Jawaban Bilangan Berpangkat Kelas 9 Guru Ilmu Sosial
www.ilmusosial.id

Matematika Menjawab Kunci Jawaban Uji Kompetensi 1 Bab Perpangkatan Dan Bentuk Akar Kelas 9 K13 Nomor 1 15 Matematika Menjawab
www.matematikamenjawab.com

Sederhanakan Bentuk Operasi Berikut Ini Tuliskan Jawabanmu Dalam Bentuk Akar Brainly Co Id
brainly.co.id

Kunci Jawaban Matematika Kelas 9 Halaman 58 62 Uji Kompetensi 1 Kosingkat
www.kosingkat.id

Tuliskan Bilangan Dibawah Ini Dalam Notasi Ilmiah Youtube
www.youtube.com

4 Diberikan X 24 Dan Y 54 Tentukan Hasil Operasi Dibawah Ini Tuliskan Jawabanmu Dalam Bentuk Brainly Co Id
brainly.co.id

Bab 1 Perpangkatan
id.scribd.com

Buku Siswa Matematika Kelas 9 Revisi 2018 Converted Docx
id.scribd.com

Sederhanakan Bentuk Operasi Perpangkatan Berikut Ini Ab A 1 2b 2 Youtube
www.youtube.com

Soal Dan Pembahasan Buku Siswa Matematika Kls 9 Semester 1 Latihan 1 4 Hal 46 Pentium Sintesi
pentiumsintesi.blogspot.com

Matematika Kelas 9 Pages 101 150 Text Version Anyflip
anyflip.com

Mengenal Bentuk Akar Dilengkapi Soal Latihan Dan Pembahasan Dari Buku Matematika Smp Kelas Ix Kurikulum 2013 Defantri Com
www.defantri.com

Sederhanakan Bentuk Operasi Perpangkatan Berikut Ini Tuliskan Jawabanmu Dalam Bentuk Akar A Brainly Co Id
brainly.co.id

Sederhanakan Bentuk Operasi Perpangkatan Berikut Ini Tuliskan Jawabanmu Dalam Bentuk Akar A Brainly Co Id
brainly.co.id

Kelas Ix Matematika Bs Semester 1 Crc
www.slideshare.net

Kelas Ix Matematika Bs Semester 1 Crc
www.slideshare.net

Hak Cipta 2015 Pada Kementerian Pendidikan Dan Kebudayaan Dilindungi Undang Undang Pdf Free Download
docplayer.info

Sederhanakan Perpangkatan Berikut Ini Brainly Co Id
brainly.co.id

Buku Guru Kelas Ix Matematika K 13 Pdf Document
fdokumen.site

Sederhanakan Bentuk Operasi Perpangkat Berikut Ini Tuliskan Jawabanmu Dalam Bentuk Akar Tolong Jawab Sama Caranya
idedukasi.id

Buku Guru Kelas Ix Matematika K 13
www.slideshare.net

Merubah Bentuk Akar Ke Pangkat Bse Matematika Kelas 9 K13 Lat1 5 No 09 Eksponensial Youtube
www.youtube.com

Jawaban Uji Kompetensi 1 Matematika Kelas 9 Smp Halaman 58 Kurikulum 2013 Revisi 2018 Docx Jawaban Uji Kompetensi 1 Matematika Kelas 9 Smp Halaman 58 Course Hero
www.coursehero.com

Jawaban Buku Matematika Kelas 9 Uji Kompetensi 1 Perpangkatan Dan Bentuk Akar Hal 58 Pentium Sintesi
pentiumsintesi.blogspot.com

Sederhanakan Bilangan Berikut Dan Tuliskan Jawabanmu Dalam Bentuk Baku Buka Kurung 7 2 Kali 10 Brainly Co Id
brainly.co.id

Kunci Jawaban Sederhanakan Bentuk Di Bawah Ini A A 3b 3c 3 4bc X 8ac 3bc 3 B 2m 0 X M 2 3 C M 3 4 M 3 Rofa Education Centre
rofaeducationcentre.blogspot.com

Jawaban Uji Kompetensi 1 Matematika Kelas 9 Smp Halaman 58 Kurikulum 2013 Revisi 2018 Brainly Co Id
brainly.co.id

Matematika Menjawab Kunci Jawaban Uji Kompetensi 1 Bab Perpangkatan Dan Bentuk Akar Kelas 9 K13 Nomor 1 15 Matematika Menjawab
www.matematikamenjawab.com

Kunci Jawaban Matematika Kelas 9 Halaman 58 62 Uji Kompetensi 1 Kosingkat
www.kosingkat.id

Lengkap Uji Kompetensi 1 Kelas 9 Smp Mts Semester 1 Perpangkatan Akar Buku Paket Bse Halaman 58 Youtube
www.youtube.com

Doc Bilangan Berpangkat Wahyu Tri Budi Utami Academia Edu
www.academia.edu

Http Marisekolah Com Materi Materi 20smp 20kelas 209 Matematika Bab 201 20perpangkatan 20dan 20bentuk 20akar Pdf

Bahan Ajar Docx
id.scribd.com

Uji Kompetensi 1 Perpangkatan Dan Bentuk Akar Brainly Guru Ilmu Sosial
www.ilmusosial.id

Sederhanakan Bentuk Operasi Perpangkatan Berikut Ini Tuliskan Jawabanmu Dalam Bentuk Akar Youtube
www.youtube.com

Uji Kompetensi Bab 1 Perpangkatan Dan Bentuk Akar
id.scribd.com

Kelas Ix Matematika Bs Semester 1 Crc
www.slideshare.net

Jawaban Buku Matematika Kelas 9 Uji Kompetensi 1 Perpangkatan Dan Bentuk Akar Hal 58 Pentium Sintesi
pentiumsintesi.blogspot.com

Sederhanakan Bilangan Berikut Dan Tuliskan Jawabanmu Dalam Bentuk Baku Brainly Co Id
brainly.co.id

Buku Guru Kelas Ix Matematika K 13 Pdf Document
fdokumen.site

Matematika Menjawab Kunci Jawaban Uji Kompetensi 1 Bab Perpangkatan Dan Bentuk Akar Kelas 9 K13 Nomor 1 15 Matematika Menjawab
www.matematikamenjawab.com

Book 1 Pages 51 100 Text Version Anyflip
anyflip.com

Perkalian Bilangan Berpangkat Dilengkapi Soal Latihan Dan Pembahasan Dari Buku Matematika Smp Kelas Ix Kurikulum 2013 Defantri Com
www.defantri.com

Makalah Matsek3
dokumen.tips

Https Rest App Belajar Kemdikbud Go Id Files Pdf Ba81e4fc2f9849a1bd77a205a1ffbfcf Pdf

Buku Siswa Matematika Kelas 9 Revisi 2018 Pages 51 100 Flip Pdf Download Fliphtml5
fliphtml5.com

Uji Kompetensi 1 Nomor 1 2 3 4 5 6 Kelas 9 Smp Mts Perpangkatan Paket Mtk Bse Revisi 2018 By Belatik
cyberspaceandtime.com

Sederhanakan Bentuk Operasi Perpangkatan Berikut Ini Tuliskan Jawabanmu Dalam Bentuk Akar Brainly Co Id
brainly.co.id

Buku Guru Kelas Ix Matematika K 13
dokumen.tips

Kunci Jawaban Matematika Kelas 9 Halaman 58 62 Uji Kompetensi 1 Kosingkat
www.kosingkat.id

Buku Siswa Matematika Kelas 9 Revisi 2018 Pages 51 100 Flip Pdf Download Fliphtml5
fliphtml5.com

Buku Siswa Matematika Kelas 9 Revisi 2018 Pages 51 100 Flip Pdf Download Fliphtml5
fliphtml5.com

9 Sederhanakan Operasi Perpangkatan Berikut Ini Tuliskan Jawabanmu Dalam Bentuk Pangkat Brainly Co Id
brainly.co.id

Latihan 13 1sederhanakan Perpangkatan Berikut Ini
caramengerjakancepat.web.app

Latihan 13 1sederhanakan Perpangkatan Berikut Ini
caramengerjakancepat.web.app

Buku Matematika Kelas 9 Pages 51 100 Flip Pdf Download Fliphtml5
fliphtml5.com

Sederhanakan Bentuk Operasi Perpangkatan Berikut Ini Tuliskan Jawabanmu Dalam Akar Ab 3 A 1 2b 2 Youtube
www.youtube.com

Buku Siswa Matematika Kelas 9 Revisi 2018 Compressed Pages 1 50 Text Version Anyflip
anyflip.com

Menyederhanakan Pembagian Pada Perpangkatan Youtube
www.youtube.com

Kunci Jawaban Sederhanakan Operasi Perpangkatan Aljabar Berikut A Y 3 X 3y 2 B B2y 5 X B 36y 2 C Tn 3 4 X 4t 3 D 2x 3 X 3 X 2y 2 3 X 5y 4 Rofa Education Centre
rofaeducationcentre.blogspot.com

Kelas Ix Matematika Bs Semester 1 Crc
www.slideshare.net

Matematika Kelas 9 Pages 101 150 Text Version Anyflip
anyflip.com

Sederhanakan Bentuk Operasi Berikut Ini Tuliskan Jawabanmu Dalam Bentuk Akar Brainly Co Id
brainly.co.id

Berntuk Baku Perpangkatan Bse Matematika Kelas 9 K13 Lat 1 4 No 05 Eksponensial Youtube
m.youtube.com

Bs 9 Matematika Edisi Revisi 2018 Pages 51 100 Flip Pdf Download Fliphtml5
fliphtml5.com

Sederhanakan Bentuk Operasi Perpangkatan Berikut Ini Tuliskan Jawabanmu Dalam Bentuk Pangkat Brainly Co Id
brainly.co.id

4 Sederhanakan Operasi Berikut Ini Tuliskan Jawabanmu Dalam Pangkat A 3 7 3 2 3 3 B Brainly Co Id
brainly.co.id

Lengkap Kunci Jawaban Buku Paket Matematika Uji Kompetensi 1 Perpangkatan Dan Bentuk Akar Halaman 58 59 60 61 62 Kelas 9 Kurikulum 2013 Jawaban Buku Paket
www.jawabanbukupaket.com

Kelas Ix Matematika Bs Semester 1 Crc
www.slideshare.net

Matematika Menjawab Kunci Jawaban Uji Kompetensi 1 Bab Perpangkatan Dan Bentuk Akar Kelas 9 K13 Nomor 1 15 Matematika Menjawab
www.matematikamenjawab.com

Buku Guru Kelas Ix Matematika K 13
www.slideshare.net

Jawaban Buku Matematika Kelas 9 Uji Kompetensi 1 Perpangkatan Dan Bentuk Akar Hal 58 Pentium Sintesi
pentiumsintesi.blogspot.com

Uji Kompetensi 1 Nomor 1 2 3 4 5 6 Kelas 9 Smp Mts Perpangkatan Paket Mtk Bse Revisi 2018 Halaman 58 Youtube
www.youtube.com

Pembagian Bilangan Berpangkat Pangkat Nol Dan Pangkat Negatif Dilengkapi Soal Latihan Dan Pembahasan Dari Buku Matematika Smp Kelas Ix Kurikulum 2013 Defantri Com
www.defantri.com

Sederhanakan Bentuk Operasi Perpangkatan Berikut Ini Tuliskan Jawabanmu Dalam Bentuk Pangkat A Brainly Co Id
brainly.co.id

Bs Matematika Smp Kelas 9 Rev 2018
id.scribd.com

Jawaban Buku Siswa Matematika Kelas 9 Latihan 1 3 Pembagian Pada Perpangkatan Hal 30 Pentium Sintesi
pentiumsintesi.blogspot.com

Matematika Kelas 9 Pages 101 150 Text Version Anyflip
anyflip.com

3 Remedial Dan Pengayaan
id.scribd.com

Jawaban Uji Kompetensi 1 Matematika Kelas 9 Smp Halaman 58 Kurikulum 2013 Revisi 2018 Docx Jawaban Uji Kompetensi 1 Matematika Kelas 9 Smp Halaman 58 Course Hero
www.coursehero.com

Bab I Perpangkatan Dan Bentuk Akar
id.scribd.com

Latihan Soal Perpangkatan Dan Bentuk Akar Matematika Smp
arisrusmana.wordpress.com

Perpangkatan Dan Bentuk Akar Smp Kelas 9 Buku Bse Revisi 2018 Matematika Bab 1 5 Uji Kompetensi1 25 By Insight Chamber
cyberspaceandtime.com

Sederhanakan Bentuk Operasi Perpangkat Berikut Ini Tuliskan Jawabanmu Dalam Bentuk Akar Tolong Brainly Co Id
brainly.co.id

close