Mengerjakan Soal Dengan Mudah

Tuliskan Hasil Perpangkatan Berikut Ini


Kunci Jawaban Matematika Kelas 9 Halaman 58 62 Uji Kompetensi 1 Kosingkat
www.kosingkat.id

Tuliskan Hasil Perpangkatan Berikut Ini
id-eduanswers.com

Matematika Menjawab Kunci Jawaban Uji Kompetensi 1 Bab Perpangkatan Dan Bentuk Akar Kelas 9 K13 Nomor 1 15 Matematika Menjawab
www.matematikamenjawab.com

Tuliskan Hasil Perpangkatan Berikut Ini A 1 2 6 4 B 8 3 3 C 6 4 3d Brainly Co Id
brainly.co.id

Tuliskan Kembali Dalam 3 Bentuk Pembagian Perpangkatan A 2 Pangkat 5 B P Pangkat 3 Youtube
www.youtube.com

Sifat Sifat Operasi Bilangan Berpangkat Beserta Contoh Soal Dan Pembahasannya Berpendidikan Com
www.berpendidikan.com

Materi Perpangkatan Dan Bentuk Akar Matematika Kelas 9 Kurikulum 2013 Revisi 2018 Fastest Math
www.fastest-math.com

Kunci Jawaban Uji Kompetensi Bab 1 Matematika Kelas 9 Guru Ilmu Sosial
www.ilmusosial.id

Cara Menghitung Akar Pangkat 3 Dengan Cepat Dan Benar
caraharian.com

Kelas Ix Matematika Bs Semester 1 Crc
www.slideshare.net

Cara Menghitung Akar Pangkat 3 Dengan Cepat Dan Benar
caraharian.com

Matematika Menjawab Kunci Jawaban Uji Kompetensi 1 Bab Perpangkatan Dan Bentuk Akar Kelas 9 K13 Nomor 1 15 Matematika Menjawab
www.matematikamenjawab.com

Https Journal Uny Ac Id Index Php Cp Article Download 17800 Pdf

Bilangan Berpangkat Jenis Sifat Operasi Hitung Soal Penyelesaian
www.yuksinau.id

Bs 9 Matematika Edisi Revisi 2018 Pages 51 100 Flip Pdf Download Fliphtml5
fliphtml5.com

Perpangkatan Bilangan Bulat Tarokutu Com
tarokutu.com

Tuliskan Hasil Perpangkatan Dari A 1 2 6 Pangkat 3 4 Pangkat 2 B 8 3 3 Youtube
www.youtube.com

Tutorial Menjawab Soal Matematika Kelas 9 Smp Aturan Dasar Bilangan Berpangkat Your Chemistry A
www.avkimia.com

Sederhanakan Bentuk Operasi Perpangkatan Berikut Ini Tuliskan Jawabanmu Dalam Bentuk Akar A Brainly Co Id
brainly.co.id

Tuliskan Bilangan Dibawah Ini Dalam Notasi Ilmiah Youtube
www.youtube.com

Kunci Jawaban Matematika Kelas 9 Halaman 58 62 Uji Kompetensi 1 Kosingkat
www.kosingkat.id

Sederhanakan Perpangkatan Berikut Ini 1 A 4 2 5 X 2 5 B 5 2 Tuliskan Bentuk W X W Brainly Co Id
brainly.co.id

Sederhanakan Bentuk Di Bawah Ini A 0 2 4 X 0 2 2 0 2 5 Pentium Sintesi
pentiumsintesi.blogspot.com

Bentuk Pangkat Akar Dan Logaritma Erwin Fajri
erwinfajri26.wordpress.com

Uji Kompetensi 2 Mtk Kelas 8 K13 Sistem Koordinat No 1 20 Pilihan Ganda
playtube.pk

Cara Menghitung Akar Pangkat 3 Dengan Cepat Dan Benar
caraharian.com

Tuliskan Hasil Perpangkatan Dari A 1 2 6 Pangkat 3 4 Pangkat 2 B 8 3 3 Youtube
www.youtube.com

Matematika Menjawab Kunci Jawaban Uji Kompetensi 1 Bab Perpangkatan Dan Bentuk Akar Kelas 9 K13 Nomor 1 15 Matematika Menjawab
www.matematikamenjawab.com

Rumus Perpangkatan Aljabar Matematika
rumusrumus.com

Uji Kompetensi Bab 1 Perpangkatan Dan Bentuk Akar
id.scribd.com

Bilangan Berpangkat Jenis Sifat Operasi Hitung Soal Penyelesaian
www.yuksinau.id

Matematika Kelas 9 Bilangan Berpangkat Pengertian Dan Sifatnya
blog.ruangguru.com

Buku Siswa Matematika Kelas 9 Revisi 2018 Compressed Pages 51 100 Text Version Anyflip
anyflip.com

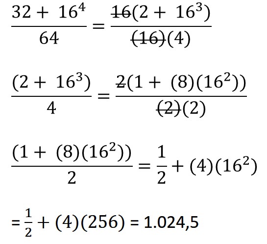
Kunci Jawaban Dapatkan Hasil Dari Operasi Perpangkatan Berikut Ini 32 16 4 64 Rofa Education Centre
rofaeducationcentre.blogspot.com

Perpangkatan Dan Pengakaran Ppt Download
slideplayer.info

Tuliskan Hasil Operasi Perpangkatan Berikut Ini A 8 2 6 B 5 4 50 C 16 2 4 D 98 7 3 Brainly Co Id
brainly.co.id

Tuliskan Kembali Dalam 3 Bentuk Pembagian Perpangkatan Seputar Bentuk
seputarbentuk.blogspot.com

Jawaban Uji Kompetensi 1 Matematika Kelas 9 Smp Halaman 58 Kurikulum 2013 Revisi 2018 Docx Jawaban Uji Kompetensi 1 Matematika Kelas 9 Smp Halaman 58 Course Hero
www.coursehero.com

Pembagian Bilangan Berpangkat Pangkat Nol Dan Pangkat Negatif Dilengkapi Soal Latihan Dan Pembahasan Dari Buku Matematika Smp Kelas Ix Kurikulum 2013 Defantri Com
www.defantri.com

Perpangkatan Dan Pengakaran Ppt Download
slideplayer.info

Buku Siswa Matematika Kelas 9 Revisi 2018 Compressed Pages 51 100 Text Version Anyflip
anyflip.com

Jawaban Buku Matematika Kelas 9 Uji Kompetensi 1 Perpangkatan Dan Bentuk Akar Hal 58 Pentium Sintesi
pentiumsintesi.blogspot.com

Pdf Materi Kelas X Sma Ma Kurikulum 2013 Eksponen Perpangkatan Yayan E Setiawan Academia Edu
www.academia.edu

Tuliskan Hasil Operasi Perpangkatan Berikut Ini A 16 2pangkat 4 B 98 7pangkat3 Brainly Co Id
brainly.co.id

Buku Siswa Kelas 9 Smp
www.slideshare.net

Bs 9 Matematika Edisi Revisi 2018 Pages 51 100 Flip Pdf Download Fliphtml5
fliphtml5.com

Perpangkatan Dan Pengakaran Ppt Download
slideplayer.info

Jawaban Uji Kompetensi 1 Matematika Kelas 9 Smp Halaman 58 Kurikulum 2013 Revisi 2018 Docx Jawaban Uji Kompetensi 1 Matematika Kelas 9 Smp Halaman 58 Course Hero
www.coursehero.com

Jawaban Buku Matematika Kelas 9 Uji Kompetensi 1 Perpangkatan Dan Bentuk Akar Hal 58 Pentium Sintesi
pentiumsintesi.blogspot.com

Buku Siswa Matematika Kelas 9 Revisi 2018 Compressed Pages 51 100 Text Version Anyflip
anyflip.com

Tuliskan Hasil Perpangkatan Berikut Ini 1 4 4 1 16 2 Brainly Co Id
brainly.co.id

Tuliskan Hasil Dari Bentuk Pangkat Berikut Ini Brainly Co Id
brainly.co.id

Contoh Soal Pangkat Akar Dan Logaritma Pilihan Ganda Pembahasan
soalkimia.com

Sifat Sifat Operasi Bilangan Berpangkat Beserta Contoh Soal Dan Pembahasannya Berpendidikan Com
www.berpendidikan.com

Bilangan Berpangkat Dan Bentuk Akar Pengertian Sifat Contoh Soal
rumusbilangan.com

Operasi Perpangkatan Bse Matematika Kelas 9 K13 Uk 1 No 11 Eksponensial Youtube
www.youtube.com

Kelas Ix Matematika Bs Semester 1 Crc
www.slideshare.net

Latihan Soal Perpangkatan Dan Bentuk Akar Matematika Smp
arisrusmana.wordpress.com

Uji Kompetensi 1 Perpangkatan Dan Bentuk Akar Brainly Guru Ilmu Sosial
www.ilmusosial.id

Bilangan Berpangkat Jenis Sifat Operasi Hitung Soal Penyelesaian
www.yuksinau.id

Hitunglah Hasil Pada Perpangkatan Berikut Ini Tuliskan Jawaban Mu Dalam Notasi Ilmiahtolong Di Brainly Co Id
brainly.co.id

Buku Matematika Kelas 9 Pages 51 100 Flip Pdf Download Fliphtml5
fliphtml5.com

1 Tentukanlah Nilai X Dari Bentuk Perpangkatan Berikut A 2 1 16 Nilai X B 4 2 Nilai X
id.scribd.com

Tuliskan Hasil Operasi Perpangkatan Berikut Ini 16 Per 2 Pangkat 4 Brainly Co Id
brainly.co.id

Kunci Jawaban Matematika Kelas 9 Halaman 10 11 Latihan 1 1 Kosingkat
www.kosingkat.id

Kelas Ix Matematika Bs Semester 1 Crc
www.slideshare.net

Operasi Perpangkatan Bse Matematika Kelas 9 K13 Uk 1 No 11 Eksponensial Youtube
www.youtube.com

Bilangan Berpangkat Dan Bentuk Akar Anikasari
anikasari.wordpress.com

Contoh Soal Bilangan Berpangkat Bulat Positif Negatif Dan Nol Buat Kamu Anak Kelas 9
www.quipper.com

Kunci Jawaban Sederhanakan Bentuk Di Bawah Ini A A 3b 3c 3 4bc X 8ac 3bc 3 B 2m 0 X M 2 3 C M 3 4 M 3 Rofa Education Centre
rofaeducationcentre.blogspot.com

Bilangan Berpangkat Jenis Sifat Operasi Hitung Soal Penyelesaian
www.yuksinau.id

Tuliskan Hasil Perpangkatan Dari A 1 2 6 Pangkat 3 4 Pangkat 2 B 8 3 3 Youtube
www.youtube.com

Buku Matematika Kelas 9 Pages 51 100 Flip Pdf Download Fliphtml5
fliphtml5.com

Kunci Jawaban Matematika Kelas 9 Halaman 58 62 Uji Kompetensi 1 Kosingkat
www.kosingkat.id

Tuliskan Hasil Perpangkatan Berikut A 6 Pangkat 2b 4 Pangkat Negatif 3c 3 Pangkat 0 Brainly Co Id
brainly.co.id

Jawaban Uji Kompetensi 1 Halaman 58 Matematika Kelas 9 Bastechinfo
www.bastechinfo.com

Logaritma Pengertian Rumus Sifat Contoh Soal Dan Pembahasan Zenius Nb19
www.zenius.net

Https Journal Uny Ac Id Index Php Cp Article Download 17800 Pdf

Perpangkatan Dan Pengakaran Ppt Download
slideplayer.info

Sifat Sifat Operasi Bilangan Berpangkat Beserta Contoh Soal Dan Pembahasannya Berpendidikan Com
www.berpendidikan.com

Tuliskan Hasil Operasi Perpangkatan Berikut Ini A 8x2 6 B 5 4 50 C 16 2 4 D 98 7 3 Brainly Co Id
brainly.co.id

Menyederhanakan Operasi Perpangkatan Aljabar Youtube
m.youtube.com

Lengkap Kunci Jawaban Buku Paket Matematika Uji Kompetensi 1 Perpangkatan Dan Bentuk Akar Halaman 58 59 60 61 62 Kelas 9 Kurikulum 2013 Jawaban Buku Paket
www.jawabanbukupaket.com

Tutorial Menjawab Soal Kelas 9 Smp Materi Perpangkatan Dan Bentuk Akar Your Chemistry A
www.avkimia.com

Sifat Sifat Bilangan Berpangkat Tarokutu Com
tarokutu.com

Jawaban Buku Matematika Kelas 9 Uji Kompetensi 1 Perpangkatan Dan Bentuk Akar Hal 58 Pentium Sintesi
pentiumsintesi.blogspot.com

Latihan Soal Perpangkatan Dan Bentuk Akar Matematika Smp
arisrusmana.wordpress.com

Rumus Rumus Pangkat
maths.id

Cara Menghitung Akar Pangkat Tiga Secara Manual Dengan Gambar
id.wikihow.com

Perkalian Bilangan Berpangkat Dilengkapi Soal Latihan Dan Pembahasan Dari Buku Matematika Smp Kelas Ix Kurikulum 2013 Defantri Com
www.defantri.com

Tuliskan Hasil Dari Bentuk Pangkat Berikut Ini A 3z3 Per Z5 B 0 5 3 X 0 5 0 C 4x 2 Per X 3 Brainly Co Id
brainly.co.id

Matematika Menjawab Kunci Jawaban Uji Kompetensi 1 Bab Perpangkatan Dan Bentuk Akar Kelas 9 K13 Nomor 1 15 Matematika Menjawab
www.matematikamenjawab.com

Lengkap Kunci Jawaban Buku Paket Matematika Uji Kompetensi 1 Perpangkatan Dan Bentuk Akar Halaman 58 59 60 61 62 Kelas 9 Kurikulum 2013 Jawaban Buku Paket
www.jawabanbukupaket.com

Tuliskan Hasil Dari Bentuk Pangkat Berikut Inia Tex Frac 3z 3 Z 5 Tex B Tex 0 5 Brainly Co Id
brainly.co.id

Perpangkatan Dan Pengakaran Ppt Download
slideplayer.info

Bilangan Berpangkat Jenis Sifat Operasi Hitung Soal Penyelesaian
www.yuksinau.id

Perkalian Bilangan Berpangkat Dilengkapi Soal Latihan Dan Pembahasan Dari Buku Matematika Smp Kelas Ix Kurikulum 2013 Defantri Com
www.defantri.com

Sifat Sifat Operasi Bilangan Berpangkat Beserta Contoh Soal Dan Pembahasannya Berpendidikan Com
www.berpendidikan.com

Buku Guru Matematika Kelas 9 K13 Revisi 2018 Pages 151 200 Flip Pdf Download Fliphtml5
fliphtml5.com

Hitunglah Hasil Pada Perpangkatan Berikut Ini Tuliskan Jawabanmu Dalam Notasi Ilmiah Youtube
www.youtube.com

close